Ngày nay có rất nhiều phương pháp xác định độ phát xạ, mỗi phương pháp đều có ưu nhược điểm riêng của nó. Bài viết này sẽ tập trung liệt kê ra các phương pháp đo độ phát xạ phổ biến nhất hiện nay:
Sử dụng thiết bị FTIR Spectrometer đo độ phát xạ
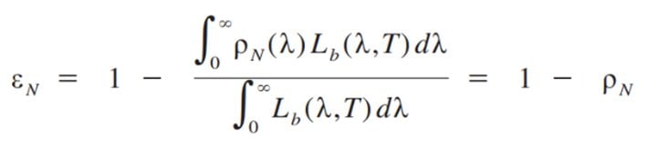
Với sự ra đời của máy đo phản xạ/ phát xạ dựa trên nguyên lý FTIR, giờ đây việc thu thập phổ phản xạ có độ phân giải cao (ρN (λ)), hoặc phổ phát xạ (εN (λ)) trong một khoảng thời gian ngắn là hoàn toàn khả thi [5]. Đối với các mẫu không trong suốt, độ phát xạ có thể được biểu thị bằng:
Phương pháp này được sử dụng phổ biến trong phòng thí nghiệm, phổ phát xạ bề mặt của mẫu được tính từ các phép đo phổ phản xạ sử dụng thiết bị FTIR Bruker Vertex 70 hoặc Lambda 900 với một quả cầu tích phân (integrating sphere) có độ phản xạ cao và một nguồn phát tia hồng ngoại bên ngoài.
Việc xác định độ phản xạ quang phổ bề mặt thu được bằng phương pháp so sánh, với việc sử dụng thành bên trong của quả cầu tích hợp làm đối tượng tham chiếu. Để sử dụng phương pháp này, bề mặt của vật mẫu được đặt ngay bên dưới cổng mẫu bên ngoài của quả cầu tích hợp và được chiếu sáng bằng chùm tia LWIR đến từ nguồn bên ngoài. Độ bức xạ phản xạ (Vs (λ)) thu được và sau đó so sánh với bức xạ phản xạ của quả cầu tích hợp (Vr (λ)), cho ra phép toán:

trong đó Vo (λ) là phép đo cổng mở (được trình bày chi tiết bởi Hecker et al. [4]) và ρr (λ) là hệ số phản xạ tuyệt đối của quả cầu tích phân (ρr (λ) ≈ 0,97 trong dải 2,5–14 µm). Một gương xoay bên trong được sử dụng để điều chỉnh hướng đi của tia hồng ngoại:

Hình 1: Sơ đồ sử dụng thiết bị đo FTIR
Ưu điểm:
+ Phép đo cho ra dải phổ có độ phân giải cao, đo được trong dải phổ rộng (lên đến 2.5–16 µm).
+ Có thể đo một số mẫu có cấu trúc phức tạp và không đồng nhất (cát, sỏi, cỏ, …) với điều kiện số lượng đo phải được thực hiện nhiều lần.
Nhược điểm:
+ Không đo được ngoài môi trường, với một số mẫu đòi hỏi phải đo bên ngoài môi trường.

Hình 2: Đo độ phản xạ của cỏ
Sử dụng phương pháp đo trực tiếp độ bức xạ bằng radiometer
Phương pháp đo dựa trên nguyên lý phổ phát xạ. Hệ thống bao gồm thiết bị SR5000N [6] hoặc thiết bị FTIR chuyên dụng có tích hợp vật đen; một vật đen bức xạ; một đĩa kim loại được cấp nhiệt; một bộ điều khiển nhiệt độ (và có thể bao gồm một hệ thống quang học riêng biệt). Sơ đồ hệ thống được mô tả trong Hình 3.

Hình 3: Sơ đồ đo trong phòng lab của Công ty công nghệ quốc phòng đa quốc gia QINETIQ
Vật đen và vật mẫu sẽ được để ở cùng một khoảng cách, để đảm bảo cho hệ số truyền bằng nhau [4].
Hệ thống đo sẽ sử dụng vật đen hai nhiệt độ khác nhau nhằm mục đích để hiệu chuẩn, xây dựng đường cong bức xạ (thông thường vật đen sẽ chọn ra 2 nhiệt độ trên và dưới nhiệt độ ước lượng được của vật mẫu).
Độ bức xạ của vật đen:

Đường cong hiệu chuẩn:

Từ đó xác định độ bức xạ của vật mẫu:
![]()
Từ phương trình trên, ta xác định được độ phát xạ ε [3].
Phương pháp đo này cần xác định chính xác nhiệt độ của vật mẫu, để xác định điều này, hiện nay có 2 cách đề xuất:
+ Sử dụng một đĩa gia nhiệt giúp cung cấp nhiệt độ đồng đều cho toàn bộ bề mặt vật mẫu (cần tránh thất thoát nhiệt) và một thermalcouple để đo tiếp xúc trực tiếp nhiệt độ của vật.
+ Đối với những vật mẫu không thể cung cấp nhiệt đồng đều, hoặc bị ảnh hưởng tính chất nếu đo nhiệt độ trực tiếp. Sử dụng thiết FLIR chuyên dụng (FLIR P65 hoặc FLIR i7) để đo (sai số ở ± 2 °C) [2].

Hình 4: Thiết bị đo cầm tay FLIR P65
Ưu điểm:
+ Có thể sử dụng cả trong phòng thí nghiệm lẫn bên ngoài môi trường.
Nhược điểm:
+ Cần phải xác định được nhiệt độ của bề mặt vật mẫu, trong khi không phải vật mẫu nào cũng có thể gia nhiệt được.
+ Đối với vật mẫu có cấu trúc phức tạp, rất khó để có thể gia nhiệt đồng đều cho vật mẫu.
+ Nhiệt độ của vật mẫu bền ngoài môi trường bị thay đổi liên tục, rất khó kiểm soát.
+ Đối với bên ngoài môi trường, môi trường không kiểm soát, phương pháp đo cần nhiều thông số như độ truyền không khí, độ bức xạ môi trường, độ bức xạ không khí. Đòi hỏi nhiều thiết bị đi kèm.

Hình 5: Thiết bị đo Solarimeter và Pyrgeometer
Sử dụng phương pháp chiếc hộp phát xạ
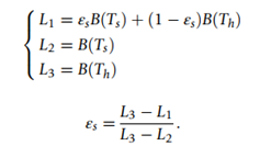
Phương pháp hộp phát xạ đã được áp dụng rộng rãi kể từ khi được giới thiệu (Rubio, 2003) [4], được sử dụng để đo ngoài môi trường. Trong phương pháp này, một hộp không đáy được sử dụng để che mục tiêu. Thành bên trong của hộp có độ phản xạ cao có lớp cách nhiệt bên ngoài, đi kèm với hai loại vật liệu có đặc tính khác nhau được sử dụng để sản xuất tấm nắp đậy.
Một loại vật liệu có độ phản xạ cao, trong khi loại vật liệu kia có độ phát xạ cao. Sử dụng luân phiên của hai tấm nắp đậy này. Ở trên cùng là một radiometer đặt thẳng đứng (hơi nghiêng 5 độ). Một đĩa gia nhiệt giúp cho nắp đậy nhanh đạt được đến nhiệt độ của nó, (tránh thất thoát nhiệt ngoài môi trường).
Từ kết quả đo được chúng ta sẽ giải được phương trình bức xạ TIR (thermal infrared). Với phương pháp này, không cần đo nhiệt độ trực tiếp, cung cấp khả năng kiểm soát tốt bức xạ môi trường và khả năng ứng dụng cao. Cấu trúc của chiếc hộp phát xạ được biểu diễn trong Hình 6 dưới đây:

Hình 6: Cấu trúc của hộp phát xạ

Hình 7: Các bước để đo
Thông thường, ba bước sau được thực hiện (Hình 7). Đầu tiên, L2 được đo bằng cách sử dụng nắp lạnh làm đỉnh hộp và vật liệu ở dưới đáy, lúc này, toàn bộ hộp được coi như là một vật đen hoàn toàn. Tiếp theo, L1 được đo bằng cách thay thế nắp lạnh bằng nắp nóng.
Do đó, độ bức xạ cảm biến thu được sẽ bao gồm độ bức xạ do mẫu phát ra và độ bức xạ môi trường (bức xạ phát ra từ nắp nóng bị phản xạ trên bề mặt mẫu). Cuối cùng, L3 được đo bằng cách đặt hộp trên nắp lạnh (không có lỗ). Lúc này, hộp được coi tương đương với một vật đen với nhiệt độ của nắp nóng phía trên. Từ 3 dữ liệu thu được, chúng ta sẽ tính được độ bức xạ của vật mẫu dựa vào phương trình:

Ưu điểm:
+ Có thể đo được ngoài môi trường, không cần trực tiếp đo nhiệt độ của bề mặt vật mẫu.
Nhược điểm:
+ Hộp và nắp đậy phải là loại vật liệu tính chất bức xạ và phản xạ cao. Tuy nhiên rất khó có loại vật liệu nào đạt được tính tuyệt đối. Sau này, Rubio et al. [4] đã đề xuất một phương pháp nhằm giảm thiểu sai số trên.
Kết luận
Mỗi phương pháp nêu trên đều có ưu, nhược điểm riêng, các kết quả đo được đều có sự chênh lệch nhất định (15%), Vì vậy khi đo phổ phát xạ của một vật cần xem xét các yếu tố như tính chất vật liệu, điều kiện môi trường, độ chính xác, chi phí và quy mô thực hiện để có thể chọn ra phương pháp phù hợp với mục đích nghiên cứu nhất.
Xem thêm các tài liệu khác Tại đây
Tài liệu tham khảo
[1] https://www.shimadzu.com/an/service-support/technical-support/analysis-basics/tips-ftir/emissivity.html. [2] Intermat; Intermat thermal graphic report on MOWAG Color Shade. [3] Thermal infrared characterization of ground target and backgrounds, second edition. [4] Mary F. Langsdale and partner; Inter-Comparison of Field- and Laboratory-Derived.Surface Emissivities of Natural and Manmade Materials in Support of Land Surface Temperature (LST) Remote Sensing.
[5] ASTM E408 – 13; Standard Test Methods for Total Normal Emittance of Surfaces Using Inspection-Meter Techniques. [6] QinetiQ; Optical materials assessment at elevated temperatures.